江苏开云手机站登录入口集团股份有限公司官网
水泥生产工艺技术员必懂的常见计算案例(一)
2022-01-13

水泥生产工艺技术员必懂的常见计算案例(一)

分享到:
1、φ4.2*12m磨机钢球级配方案是Ⅰ仓:φ100mm的4.5t,φ90mm的10.25t,直径80mm的38.75t,φ70mm的20.80t,φ60mm的5.70t;Ⅱ仓:φ60mm的7.40t,φ50mm的8.75t,φ40mm的34.80t,φ30mm的77.0t,求Ⅰ、Ⅱ仓的平均球径。
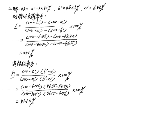
2、磨机正常运转后,分别在出磨斜槽、粗粉斜槽及细粉斜槽各取5个样,其0.08mm筛孔平均筛余分别是34.42%,46.55%,6.46%,求其循环负荷率和选粉效率。
3、一台磨机第一次装入研磨体的质量是210t,中间无补球,经过粉磨10万吨水泥后清仓,清仓后研磨体的总质量为190t(不含碎球和过小的球),求该种研磨体球耗。
4、已知某φ3.5m磨机衬板的厚度为0.05m,一仓长2.625m,二仓2.3625m,三仓5.09m,求该磨机的有效内径和有效容积。
5、某一磨机的台时产量为75t/h,回磨的粗粉为165t/h,求该磨机的循环负荷率。
6、已知磨机内研磨体的球耗是0.120kg/t熟料,当生产5.0万吨水泥时,磨机应添加多少研磨体,方能达到预期效果?
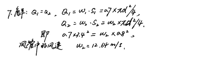
7、磨机有效直径3.4m,测其风速为0.7m/s,假设磨尾无漏风,磨尾风管直径为800mm,求风管中风速。
8、某厂水泥样品50g,经0.08mm方孔筛筛析,达到规定时间所剩料量为3g,问该样品是否合乎生产指标要求?(要求水泥细度<4%)
9、某厂水泥磨的通风量为1000m3/min,磨机规格为φ4.5*15m,试计算磨内的风速大约是多少?
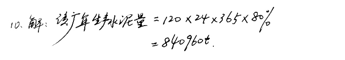
10、某厂水泥磨台时产量为120t/h,问运转率为80%时,该厂一年可以生产多少水泥?
上一篇:五氧化二钒回转窑回收工艺介绍
下一篇:立磨基础知识